不動産コラム
- 2022/10/07不動産コラム不動産ニュース解説『平均変動率』には要注意
9月20日、都道府県地価調査が公表されました。『住宅地は31年ぶりに上昇に転じた。』と発表され、全国的な地価の回復が印象付けられる報道が目立ちました。
ですがそもそも、地価公示や都道府県地価調査で公表される地価変動率の「平均」には注意が必要です。公表される平均変動率は、変動「率」を平均したもので、示されている値がどのような意味を持つのか、理解していないと無用な印象操作に惑わされます。
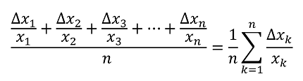
まず、地価公示等で公表される平均変動率の算定は、地点ごとの変動率を箇所毎に合計し、地点数で割ったものです。各地点(地点k)の昨年の評価額(単価)をXkと置き、一年間の増減額(単価)を⊿Xkと置くと、次の式で表されます。

これ、地点数(nの値)が多く、全体の趨勢を見る上では参考になるでしょうが、地点数が少ないとき、たとえば2地点だけだとすると、どのような数値になるでしょうか。次の例を考えてみましょう。
ある地点の去年の坪単価は坪100万円でした。今年は坪103万円となり、変動率は+3.0%(上昇)でした。もう1地点の昨年の坪単価は坪30万円で、今年は坪28万円となりました。変動率は△6.7%(下落)です。この2地点の平均変動率は、(+3-6.7)÷2=△1.85%で、地域の平均変動率は1.85%の下落でした。
このような議論に意味があるでしょうか。単価の高い土地が上がっていて、単価の低い土地が下がっているとき、足して2で割るという操作に、そもそも意味があるでしょうか。
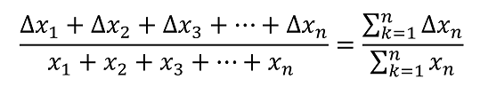
平均変動率とは、数学的な意味では本来、次のような値になるはずです。

ですがこれも、地価を見る上ではあまり意味がありません。なぜなら扱っているXkは土地の単価であり、数量(金額)ではないからです。また、仮にXkを単価でなく価格そのものとした場合でも、価格の高い大きな土地と価格の低い小さな土地を混ぜて比較しているので、求められた数値に意味はありません。
ですから、公表される『平均変動率』は、首都圏全体とか、関西圏全体とか、多くの地点から趨勢を把握するには意味があるでしょうが、数地点しかない市町村単位で見ても、あまり意味がありません。地価変動は、やはり個々の地点を個別に見て判断する必要があります。
